Yazdır

Özgün Çalışma/Original Article
Mikrobiyol Bul 2014; 48(4): 566-576

Kan Kültürlerinden İzole Edilen Tek Klonlu Acinetobacter baumannii Suşlarının
Karakterizasyonu ve Antibiyotik Direnç Profillerinin İncelenmesi

Characterization and Determination of Antibiotic Resistance Profiles of a Single Clone
Acinetobacter baumannii Strains Isolated from Blood Cultures

Alper KARAGÖZ1, Irmak BARAN2, Neriman AKSU2, Sümeyra ACAR1, Rıza DURMAZ1


1 Türkiye Halk Sağlığı Kurumu, Ulusal Moleküler Mikrobiyoloji Referans Merkez Laboratuvarı, Ankara.

1 Public Health Agency of Turkey, National Molecular Microbiology Reference Centers Laboratory, Ankara, Turkey.

2 Ankara Numune Eğitim ve Araştırma Hastanesi, Tıbbi Mikrobiyoloji Laboratuvarı, Ankara.

2 Ankara Numune Training and Research Hospital, Medical Microbiology Laboratory, Ankara, Turkey.

ÖZET

Acinetobacter baumannii, hastanelerde özellikle de yoğun bakım üniteleri (YBÜ)'nde morbidite ve mortaliteyi artıran, hastanede gelişen enfeksiyonların önemli bir etkenidir. Bu çalışmada, hastanemizin çeşitli YBÜ ve servislerinde yatan hastaların kan kültürleri ile hastane ortamından izole edilen A.baumannii suşlarının antimikrobiyal direnç profillerinin saptanması, klonal ilişkilerinin ve epidemiyolojik özelliklerinin değerlendirilmesi amaçlanmıştır. Çalışmaya, hastanemiz klinik mikrobiyoloji laboratuvarında 01 Ocak 2012-28 Aralık 2012 tarihleri arasında kan kültürü örneklerinden izole edilen 47 suş ile çevre örneklerinden izole edilen yedi suş olmak üzere toplam 54 A.baumannii suşu dahil edilmiştir. İzolatların tanımlanması ve çeşitli antibiyotiklere [ampisilin-sulbaktam (SAM), piperasilin (PIP), piperasilin-tazobaktam (TZP), seftazidim (CFZ), sefoperazon-sulbaktam (SCF), sefepim (CEF), imipenem (IMP), meropenem (MER), amikasin (AMK), gentamisin (GEN), netilmisin (NT), siprofloksasin (CIP), levofloksasin (LVF), tetrasiklin (TET), tigesiklin (TG), kolistin (COL), trimetoprim-sülfametoksazol (SXT)] karşı duyarlılık paternleri Vitek 2 (BioMérieux, Fransa) sistemi ile belirlenmiştir. İzolatlar arasındaki klonal ilişki değişken alanlı jel elektroforezi (PFGE) ile araştırılmıştır. Çalışmamızda, A.baumannii izolatlarına kaşı en etkili antibiyotiklerin kolistin, tigesiklin ve netilmisin olduğu belirlenmiştir. Kan kültürü izolatlarının tamamı (n= 47) kolistine duyarlı; SAM, PIP, TZP, CEF, IPM, CFZ, MER ve CIP'a dirençli bulunmuştur. Klinik izolatların %1.85'i SCF ve TET, %9.2'si AMK, %16.6'sı NT, %38.8'i LVF ve %27.7'si TG'ye orta düzey dirençli iken; %1.85'i SCF, %14.8'i AMK ve NT, %16.6'sı GEN, %59.2'si TG ve %22.2'si SXT'ye duyarlıdır. Çevresel örneklerden izole edilen A.baumannii suşlarının tamamı (n= 7) ise SAM, PIP, TZP, CFZ, CEF, IPM, MER ve CIP'a dirençli; TG ve COL'a duyarlı olarak saptanmıştır. Çevre izolatlarının SCF, AMK, GEN, NT, LVF, TET ve SXT'ye direnç oranları sırasıyla; %57.1, %85.7, %85.7, %28.8, %28.6, %85.7 ve %57.1'dir. A.baumannii izolatlarının ApaI enzimi ile kesilen genomik DNA'sı ile yapılan PFGE yönteminde ortak tek bir klon saptanmış; yapılan dendogram analizinde çevre ve kan izolatlarının aynı kümede olması, hastanede meydana gelen salgının, dahiliye YBÜ'yü içeren bölümden kaynaklandığını göstermiştir. Verilerimiz, çok ilaca dirençli (ÇİD) A.baumannii izolatlarının hastanemizde oldukça yaygın olduğunu ortaya koymuş ve bir yıllık sürede bu bakterinin neden olduğu çevresel kaynaklı çapraz bulaş moleküler yöntemler ile doğrulanmıştır. Hastanemiz enfeksiyon kontrol komitesinin etkin el yıkama, eldiven kullanımı, hastane temizliği gibi enfeksiyon kontrol önlemlerine yönelik eğitimler verdiği ve denetimlerde bulunduğu halde, tek klonlu bu çapraz bulaşın ortaya çıkmasında personel sayısının yetersizliğinin ve sağlık personelinin hijyen kurallarına yeterince uymamasının etkili olduğu düşünülmüştür. Sonuç olarak, hastane ortamında ÇİD A.baumannii suşlarının yayılımının önlenmesi ve nozokomiyal enfeksiyonların kontrolünde enfeksiyon kontrol stratejilerinin eksiksiz olarak uygulanması gereği bir kez daha vurgulanmıştır.

Anahtar sözcükler: Acinetobacter baumannii; hastane enfeksiyonu; moleküler epidemiyoloji; PFGE.

ABSTRACT

Acinetobacter baumannii which is a significant cause of nosocomial infections, increases the rate of morbidity and mortality in health care settings especially in intensive care units (ICUs). The aim of this study was to determine the antibiotic resistance profiles of A.baumannii strains isolated from blood cultures of inpatients from different ICUs, wards and hospital environment and evaluate their clonal relationships and epidemiologic features. A total of 54 A.baumannii strains (47 from the blood cultures and 7 from the hospital environment), identified between 01 January 2012-28 December 2012 at the Clinical Microbiology Laboratory of Ankara Numune Training and Research Hospital, Turkey, were included in the study. Identification of A.baumannii isolates and their antimicrobial [sulbactam-ampicillin (SAM), piperacillin (PIP), piperacillin-tazobactam (TZP), ceftazidime (CFZ), cefoperazone-sulbactam (SCF), cefepime (CEF), imipenem (IMP), meropenem (MER), amikacin (AMK), gentamicin (GEN), netilmicin (NT), ciprofloxacin (CIP), levofloxacin (LVF), tetracycline (TET), tigecycline (TG), colistin (COL), trimethoprim-sulfamethoxazole (SXT)] susceptibility testing were performed by Vitek 2 (bioMérieux, France) system. The clonal relationship between the A.baumannii isolates was analysed by pulsed-field gel electrophoresis (PFGE). In our study colistin, tigecycline and netilmicin were found to be the most effective agents against A.baumannii isolates. All of the clinical isolates (n= 47) were found susceptible to COL, however all were resistant to SAM, PIP, TZP, CEF, IPM, CFZ, MER and CIP. While 1.85%, 14.8%, 14.8%, 16.6%, 59.2% and 22.2% of the isolates were susceptible to SCF, AMK, NT, GEN, TG and SXT, respectively; 1.85%, 1.85%, 9.2%, 16.6%, 38.8% and 27.7% of the isolates were intermediate to SCF, TET, AMK, NT, LVF and TG, respectively. Similarly, all of the environmental A.baumannii isolates (n= 7) were resistant to SAM, PIP, TZP, CFZ, CEF, IPM, MER and CIP, and all were susceptible to TG and COL. The resistance rates of the environmental isolates to SCF, AMK, GEN, NT, LVF, TET and SXT were determined as 57.1%, 85.7%, 85.7%, 28.8%, 28.6%, 85.7% and 57.1%, respectively. PFGE analysis done by the use of ApaI enzyme revealed the presence of one major clone. Dendogram analysis indicated that environmental and clinical isolates were in the same clone indicating that the outbreak was possibly originated from the same internal ICUs. Our data emphasized that multidrug resistant A.baumannii isolates were quite common in our hospital, and enviromental cross-contamination throughout the year was confirmed by molecular methods. Despite the precautions such as continous education on effective hand washing, use of gloves and hospital cleaning, established in our hospital, this single clonal spread was attributed to staff shortage and poor adherence to infection control rules. In conclusion, for the prevention of dissemination of multidrug resistant A.baumannii strains and control of nosocomial infections, infection control strategies should be established and strict compliance to these rules should be provided.

Key words: Acinetobacter baumannii; nosocomial infection; molecular epidemiology; PFGE.

Geliş Tarihi (Received): 03.07.2014 • Kabul Ediliş Tarihi (Accepted): 08.09.2014

GİRİŞ

Acinetobacter baumannii farklı coğrafi bölgelerde, başta yoğun bakım üniteleri (YBÜ) olmak üzere hastanelerin çeşitli birimlerinde ciddi hastane enfeksiyonlarından sorumlu önemli fırsatçı bir patojendir1. Son 20 yılda nozokomiyal gram-negatif patojenler içerisinde kontrol ve tedavisi en güç olanlardan biri haline gelmiştir. Birçok ülkede hastanede yatan hastaların hastalık süresini ve ölüm oranını uzatmıştır2-4. Ventilatörle ilişkili pnömoni, endokardit, sekonder menenjit, deri ve yara enfeksiyonları ve üriner sistem enfeksiyonları gibi çeşitli enfeksiyonlara neden olabilmektedir1,5,6. Travma, mekanik ventilasyon, immün süpresyon, cerrahi işlemler, santral damar içi kateterizasyon, trakeostomi, enteral beslenme ve üçüncü kuşak sefalosporin, florokinolon veya karbapenemlerle tedavi, bu mikroorganizma için nozokomiyal enfeksiyonlarla ilgili önemli risk faktörleridir5,7,8. A.baumannii salgınlarının pek çoğu hasta yatakları, klimalar ve mekanik ventilasyon ekipmanları gibi çevresel kaynaklıdır9-11. Bu bakteriler hasta ortamına bulaştıktan sonra genellikle çok ilaca dirençli suşların neden olduğu hızlı seyreden salgınlar halinde bir epidemiyolojik model izler. Bu durum, herhangi bir zamanda baskın olan tek endemik suşun ortaya çıkmasına neden olur12,13.

Ciddi enfeksiyonlardan izole edilen A.baumannii suşları arasındaki klonal ilişki ile ilgili veriler, dirençli suşların hastane içinde hastadan hastaya yayılmasını önlemeye ve daha etkin kontrol önlemlerinin uygulanmasına yardımcı olabilir. Salgının tanımlanması ve kaynağın belirlenmesi için çok çeşitli yöntemler kullanılabilir5,6,12. Serolojik testler, bakteriyofaj ve bakteriyosin tiplendirme, protein profilleri, antibiyotik duyarlılık paternleri, multilokus enzim elektroforezi ve polimeraz zincir reaksiyonu (PCR) bunlardan bazıları olup, epidemiyolojik tiplendirme yöntemleri arasında değişken alanlı jel elektroforezi (pulsed-field gel electrophoresis; PFGE) yüksek ayırım gücüne sahip altın standart yöntem olarak bilinmektedir14. Bu çalışmada, 2012 yılı boyunca kan kültürlerinde üreyen A.baumannii izolatlarının antibiyotik direnç profillerinin belirlenmesi ve izolatlar arasındaki klonal ilişkinin PFGE yöntemiyle araştırılması amaçlanmıştır. Bu bilgiler klinik verilerle birlikte değerlendirilerek, A.baumannii'ye bağlı hastane enfeksiyonlarının epidemiyolojisinin anlaşılmasına katkı sağlanmaya çalışılmıştır.

GEREÇ ve YÖNTEM

Çalışmaya, 01 Ocak 2012-28 Aralık 2012 tarihleri arasında hastanemizdeki çeşitli bölümlerin YBÜ ve servislerinde yatan hastaların kan kültürlerinden etken olarak izole edilen toplam 47 A.baumannii ve ortam kültürlerinden izole edilen 7 A.baumannii suşu alındı. Kan kültürü örnekleri BacT/ALERT 3D (BioMérieux, Fransa) sisteminde inkübe edildi. Otomasyon sistemiyle üreme tespit edilen kan örnekleri %5 koyun kanlı ve EMB agar besiyerlerine ekildi; 37°C'de 24 saatlik inkübasyonun ardından üreme olan plaklar incelemeye alındı. Gram boyamada gram-negatif kokobasil, oksidaz negatif, katalaz negatif, nonfermentatif olduğu saptanan suşların tanımlanması ve antibiyotik duyarlılık testleri, Vitek 2 GN ve AST-N090 kartları kullanılarak Vitek 2 Compact (bioMérieux, Fransa) otomatik sistemiyle yapıldı. Ortam kültürleri içinse, mikroorganizmaların aktivitelerini kazanmaları için kullanılan, bileşiminde inhibitör içermeyen, dolayısıyla aktivite kazanması istenen mikroorganizma yanında refakatçi mikrofloranın da üremesini sağlayan bir zenginleştirme besiyeri olan triptik soy buyyon (TSB) (BD Diagnostics, ABD) kullanıldı. Zenginleştirme yöntemi için alınan kan örneği 5 ml TSB içine aktarılarak 35oC'de 24 saat inkübe edildi; daha sonra sıvı besiyerinden koyun kanlı ve EMB agara ekim yapıldı15.

Kan ve ortam izolatlarının tanımlanması ve antibiyotik duyarlılık testleri Vitek 2 (BioMérieux, Fransa) otomatize sistemiyle yapıldı. Antibiyotik duyarlılık sonuçları CLSI standartlarına göre yorumlandı16 ve test sonuçları duyarlı (S), orta (I) veya dirençli (R) olarak belirtildi. İzolatların antibiyotiklere karşı gösterdiği direnç profilleri "antibiyotip" olarak isimlendirildi ve benzer profile sahip örnekler aynı biyotip içinde kategorize edildi.

İzolatlar arasındaki klonal ilişki, ApaI restriksiyon enzimi kullanılarak Durmaz ve arkadaşlarının14 optimize ettikleri yöntemle araştırıldı. DNA paternleri; %1'lik agaroz jelde, CHEF DR II (Bio-Rad Laboratories, Belçika) PFGE cihazında 6V/cm akım, 14°C ısı ve 0.5x TBE içerisinde başlangıç ve bitiş vuruş zamanları 5 sn ve 30 sn olacak şekilde 20 saat yürütülerek gösterildi. PFGE sonrasında oluşan DNA paternleri BioNumerics software (version 6.01; Applied Maths, Belçika) ile değerlendirildi. Benzerlik indeksi "Dice" katsayısı kullanılarak %1 tolerans değerinde oluşturuldu. İzolatlar arası kümelenme ilişkisi UPGMA (Unweighted Pair Group Method of Arithmatic Averages) yöntemi kullanılarak gösterildi. İzolatlar arası genotipik ilişkinin değerlendirilmesinde Tenover ve arkadaşları17 tarafından belirlenen ilkeler uygulandı.

BULGULAR

Çalışma döneminde hastanemizin Mikrobiyoloji ve Klinik Mikrobiyoloji Anabilim Dalı Laboratuvarına gelen kan kültürü şişelerinin sayısı 224 olup, aynı hastaya ait üremeler dikkate alındığında izole edilen A.baumannii suş sayısı 47'dir. Kandan izole edilen A.baumannii suşlarının bölümlere göre dağılımı; C blok YBÜ'den 26, cerrahi YBÜ'den 5, acil dahiliyeden 4, anestezi YBÜ'den 3, acil dahiliye YBÜ'den 2 ve diğer bölümlerden (gastroenteroloji, beyin cerrahi, nöroloji YBÜ, acil cerrahi YBÜ, koroner YBÜ, tıbbi onkoloji ve hematoloji) birer izolat olarak belirlenmiştir. Bu servislerden C blok YBÜ'de farklı aylarda A.baumannii görülme yüzdesi %63.8'dir.

Çalışmamız süresince farklı aylarda hastane ortamından (yoğun bakım hasta yatağı, tedavi arabası, buhar aleti, ventilatör cihazı, monitör, masa, ilaç dolabı) alınan örnek sayısı 96 olup, bunların 7'sinden A.baumannii izolasyonu yapılmış ve tüm suşların farklı aylarda C blok YBÜ'den izole edildiği dikkati çekmiştir (dahiliye YBÜ'lerinde oluşan C blok YBÜ, enfeksiyon hastalıkları, gastroenteroloji, göğüs hastalıkları, hematoloji, kardiyoloji, nefroloji ve tıbbi onkoloji ünitelerini içermektedir).

A.baumannii suşlarının antibiyotik duyarlılıkları değerlendirildiğinde, kan kültürü izolatlarının tamamı (n= 47) kolistine duyarlı; ampisilin-sulbaktam (SAM), piperasilin (PIP), piperasilin-tazobaktam (TZP), sefepim (CEF), imipenem (IPM), seftazidim (CFZ), meropenem (MER) ve siprofloksasin (CIP)'e dirençli bulunmuştur. Klinik izolatların %1.85'i sefoperazon-sulbaktam (SCF) ve tetrasiklin (TET), %9.2'si amikasin (AMK), %16.6'sı netilmisin (NT), %38.8'i levofloksasin (LVF) ve %27.7'si tigesikline orta düzey dirençli iken; %1.85'i SCF, %14.8'i AMK ve NT, %16.6'sı gentamisin (GEN), %59.2'si tigesiklin ve %22.2'si trimetoprim-sülfametoksazol (SXT)'e duyarlıdır. Hastane ortamlarından izole edilen A.baumannii suşlarının tamamı (n= 7) ise SAM, PIP, TZP, CFZ, CEF, IPM, MER ve CIP'a dirençli; tigesiklin ve kolistine duyarlı olarak saptanmıştır. Çevre izolatlarının SCF, AMK, GEN, NT, LVF, TET ve SXT'ye direnç oranları sırasıyla; %57.1, %85.7, %85.7, %28.8, %28.6, %85.7 ve %57.1'dir.

Kan kültürlerinden ve çevreden izole edilen suşlar antibiyotik duyarlılıklarına göre gruplandırıldığında 16 farklı patern ortaya çıkmış; bunlardan Grup 2, 16 (%29.6) izolat ile en büyük grubu oluşturmuştur. Diğer gruplarda suş sayısı 1-4 arasında değişmektedir (Tablo I ve II).


Tablo I

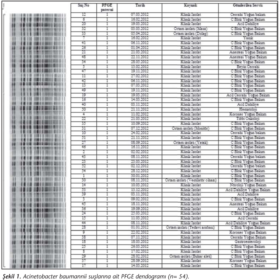
PFGE çalışmasında A.baumannii suşlarının tamamının DNA bant profillerinin aynı oldukları saptanmıştır. PFGE bant profillerinin sergilendiği A.baumannii suşlarının jel görüntülerinden sonraki aşamada dendogram analizi yapılmış ve suşların tek bir klondan kaynaklandığı belirlenmiştir (Şekil 1). Çevre izolatları, aynı üniteden alınan kan izolatları ve diğer ünitelerden alınan kan izolatlarının aynı kümede olması, hastanede meydana gelen salgının C blok YBÜ'den kaynaklandığını göstermiştir.


Şekil 1

TARTIŞMA

Çok ilaca dirençli (ÇİD) A.baumannii suşları özellikle immün sistemi baskılanmış, ventilatöre bağımlı veya deri bütünlüğü bozulmuş hastala-rın izlendiği yoğun bakım ve yanık ünitelerinde görülen hastane enfeksiyonu etkenleri arasında ilk sıralara yerleşmiştir9,17,18. Epidemiyolojik çalışmalarda salgınlara yol açan ÇİD A.baumannii suşlarının yayılımında hastanedeki kontamine yüzeyler bu patojen için önemli bir rezervuardır19,20. Bu bağlamda hastane enfeksiyonu epidemiyolojisi ile ilişkili raporlarda bakterinin yanık ünitelerinde görü-len yanık enfeksiyonlarında insidansının arttığı, bu servislerde takip edilen hastalar arasında fulminant septik şoktan bakteriyemiye uzanan tablolarla seyreden A.baumannii enfeksiyonların-da mortalitenin de %52 gibi yüksek oranlara ulaştığı bildirilmiştir1,21,22. Hastanelerde karbape-neme dirençli A.baumannii klonlarının kontrol altına alınması, yeni kontrol stratejilerinin geliştirilmesi, hastalar arası çapraz kontaminasyonların önlenmesi, gerçek bir salgının zamanında ve doğru tanımlanması ve kaynağının belirlenebilmesi için, klonal düzeyde ayı-rım yapabilen moleküler epidemiyolojik izlem yöntemlerinin kullanılması önem taşımaktadır. Nitekim fenotipik ve genotipik epidemiyolojik yöntemlerin kullanıldığı izlem çalışmaları ile A.baumannii salgınının epidemi düzeyine ulaşmadan kontrol altına alındığını gösteren çok sayıda çalışma mevcut-tur18,23-25. A.baumannii yoğun bakım ünitelerinde sıklıkla kullanılan tıbbi araç ve gereçlerden, hastanın yatak ve giysilerinden, lavabolar ve musluklardan, hastane havasından izole edilmiş ve buralarda günlerce canlı kalabildiği gösterilmiştir23,25,26. Çalışmamızda da, A.baumannii suşlarının hasta örnekleri yanında YBÜ ve izolasyon odasındaki masa yüzeyi, hasta yatağı gibi yüzeylerden de izole edilmesi, hastanemizdeki enfeksiyonların, temas izolasyonu önlemlerine ve temizlik kurallarına yeterince uyulmaması nedeniyle çapraz bulaş sonucu olduğunu düşündürmüştür. PFGE sonuçları A.baumannii çevre ve klinik suşlarının ortak bir klondan kaynaklandığını doğrulamıştır. Özdemir ve arkadaşları24 da, çevresel kaynaklı tek klonun sebep olduğu A.baumannii salgınını bildirmişlerdir24. İspanya'da yapılan bir çalışmada ise PFGE yöntemi kullanarak, aynı hastanenin yanık ünitesinde iki ardışık A.baumannii salgınına bir klonun yol açtığı rapor edilmiştir27. Bu araştırıcılar, yanık ünitesinde hasta bakımı için kullanılan banyo veya muayene malzemelerinde A.baumannii tespit edememişler, kalıcı olan suşun hastanedeki diğer yoğun bakım ünitelerine de hakim olduğunu ve buralardan çapraz bulaşla tekrar yanık ünitesine dönmüş olabileceğini ileri sürmüşlerdir27.

İntrensek veya kazanılmış direnç mekanizmaları nedeniyle A.baumannii enfeksiyonlarının tedavisinde güçlükler yaşanmaktadır9,28. Son yıllarda seftazidim, sefotaksim gibi geniş spektrumlu sefalosporinler, karbapenemler ve florokinolonların kullanımıyla A.baumannii'de çok ilaca direncin arttığı bilinmektedir26,29. Daha önceleri karbapenemler en etkili antibiyotikler olarak bilinirken, özellikle son birkaç yıldır karbapeneme dirençli Acinetobacter suşları dünyada yaygın olarak görülmeye başlamıştır29. SENTRY antimikrobiyal sürveyans çalışmasında, çalışma süresince incelenen tüm coğrafi bölgelerde A.baumannii için imipenem duyarlılığında anlamlı bir azalma olduğu gözlenmiş; 2006 yılında %65.8 olan duyarlılık oranı 2009 yılında %40.2'ye gerilemiştir30. Karbapenemlere karşı artan bu direnç oranı beraberinde diğer antibiyotiklere de direnç sorununu getirdiği için elde bulunan tedavi seçenekleri azalmaktadır.

Bu çalışmada, hem klinik hem de çevresel örneklerden izole edilen A.baumannii suşlarının hepsi kolistine duyarlı, ancak karbapenem dahil birçok antibiyotiğe dirençli bulunmuştur. Kolistinden sonra en etkili antibiyotikler tigesiklin ve netilmisindir. Karbapeneme dirençli A.baumannii enfeksiyonlarında kolistin ve tigesiklin tedavi seçenekleri arasındadır. Türkiye'de yapılan çeşitli çalışmaların sonucu da bizim çalışmamıza benzerdir. Kolistin ve tigesiklin duyarlılığını Mansur ve arkadaşları22 sırasıyla %91 ve %100; Özdemir ve arkadaşları24 ise sırasıyla %100 ve %99 olarak saptamışlardır. Yurt dışında yapılan çeşitli çalışmalarda da birçok antibiyotiğe dirençli A.baumannii izolatlarında kolistin ve tigesiklinin en etkili antibiyotikler olduğu bildirilmiştir7,25. SENTRY programı çerçevesinde A.baumannii suşlarında 2006-2009 yılları arasında tüm yıllarda kolistin duyarlılığı, aralarında Türkiye ve İsrail'in de bulunduğu Avrupa ülkelerinde %99.1 olarak bulunmuştur30. Ancak tedavi sırasında gelişen direnç raporları bu konuda dikkat edilmesi gereken bir durumdur. Almanya'dan gelen son verilerde tigesiklin direnci %6 iken, kolistin direnci %2.8 olarak gösterilmiştir31. Bu nedenle tedavide, bu antibiyotiklerin tek başlarına değil sinerjistik etkide oldukları diğer antibiyotiklerle kombine edilmesi önerilmektedir28.

Çalışmamızda incelenen karbapeneme dirençli izolatlarda genel olarak kullanılan çoğu antibiyotiğe yüksek oranda direnç saptanmıştır. Daha önce yapılan çalışmalarda da, karbapeneme dirençli A.baumannii suşlarında karbapeneme duyarlı olanlara göre diğer antibiyotik gruplarına direncin oldukça yüksek olduğu saptanmıştır32.

Yaptığımız bu çalışmada, klondaki ilk izolat 2 Şubat 2012 tarihinde C blok YBÜ'den izole edilmiş olup, klondaki son izolat yine aynı aylarda aynı servisten izole edilmiştir. Çevre izolatlarının da farklı aylarda aynı servisten izole edilmesi, 12 ay boyunca A.baumannii suşunun bu serviste varlığını sürdürdüğünü; tüm izolatların tek klonda toplanması ise diğer servislere dağılımın buradan gerçekleştiğini göstermiştir. C blok YBÜ dışındaki servislerden alınan çevre örneklerinde A.baumannii izolatına rastlanmamıştır. Benzer durumlar farklı çalışmalarda da rapor edilmektedir. Çin'de yapılan bir çalışmada, bir klonun altı sene boyunca izole edildiği ve bu klonun üç ayrı şehirdeki hastanelerde yayıldığı saptanmıştır33. Gülbudak ve arkadaşları34, yatan hastaların klinik örneklerinden izole ettikleri A.baumannii suşlarını tiplendirmişler; A klonuna ait suşların yoğun bakım üniteleri ve diğer servislerde hakim olduğunu belirlemişler ve suşların servisler arası transfer edilen hastalar ve çapraz bulaşlar sonucu yayıldığı sonucuna varmışlardır. Hastane ortamında bulunan malzemelerin yüzeylerinde haftalarca yaşayabilen A.baumannii'nin neden olduğu hastane enfeksiyonlarının önlenebilmesi kolonize ve enfekte hastalar için etkin gözetim ve temas izolasyonu, vasküler ve endotrakeal tüplerin aseptik bakımı ve genelde uygulanması en zor önlem olan sağlık çalışanlarının el hijyeninde iyileştirmelere dayanmaktadır8. Uygun enfeksiyon kontrol önlemleri alınmasına rağmen A.baumannii suşlarının aynı ünitede bir yıldan fazla yaşayabilmesi nedeniyle, hastaya temas öncesi ve sonrası el yıkama, dezenfektan kullanımı, ortam ve kullanılan aletlerin temizliği, ilk tedavi seçeneği olarak geniş spektrumlu antibiyotiklerin kullanılmaması, A.baumannii enfeksiyonlarından korunmada dikkat edilmesi gereken önemli noktalardır.

Sonuç olarak, çalışmamızda dirençli Acinetobacter suşlarının hastane ortamındaki dağılımının klonal ilişki göstermesi, enfeksiyon kontrol programlarının önemini bir kez daha vurgulamıştır. Hastanemiz enfeksiyon kontrol komitesinin etkin el yıkama, eldiven kullanımı, hastane temizliği gibi enfeksiyon kontrol önlemlerine yönelik eğitimler verdiği ve denetimlerde bulunduğu halde, tek klonlu bu çapraz bulaşın ortaya çıkmasında personel sayısının yetersizliğinin ve sağlık personelinin hijyen kurallarına yeterince uymamasının etkili olduğu düşünülmektedir. Başta yoğun bakım ünitelerinde görev yapanlar olmak üzere, tüm hastane personeline gerekli enfeksiyon kontrol eğitiminin verilmesi; hastalar arası, personel-hasta arası, ekipman-hasta-personel arası ve üniteler arası bakteri trafiğinin azaltılmasına katkı sağlayacaktır.

KAYNAKLAR

  1. Schreckenberger PC, Daneshvar MI, Weyant RS, Hollis DG. Acinetobacter, Achromobacter, Chryseobacterium, Moraxella, and other non-fermentative gram-negative rods, pp: 749-75. In: Murray PR, Baron EJ, Pfaller MA, Tenover FC, Yolken RH (eds), Manual of Clinical Microbiology. 2002, 7th ed. ASM Press, Washington, D.C.
  2. Güdücüoglu H, Durmaz R, Yaman G, Cizmeci Z, Berktas M, Durmaz B. Spread of a single clone Acinetobacter baumannii strain in an intensive care unit of a teaching hospital in Turkey. New Microbiol 2005; 28(4): 337-43.
  3. Stietz MS, Ramirez MS, Vilacoba E, et al. Acinetobacter baumannii extensively drug resistant lineages in Buenos Aires hospitals differ from the international clones I-III. Infect Genet Evol 2013; 14: 294-301.
  4. Tjoa E, Moehario LH, Rukmana A, Rohsiswatmo R. Acinetobacter baumannii: Role in blood stream infection in neonatal unit, Dr. Cipto Mangunkusumo Hospital, Jakarta, Indonesia. Int J Microbiol 2013; 2013: 180763.
  5. Bergogne-Berezin E, Towner KJ. Acinetobacter spp. as nosocomial pathogens: microbiological, clinical, and epidemiological features. Clin Microbiol Rev 1996; 9(2): 148-65.
  6. Ertürk A, Ciçek AC, Gümüş A, et al. Molecular characterization and control of Acinetobacter baumannii isolates resistant to multi-drug emerging in inter-intensive care unit. Ann Clin Microbiol Antimicrob 2014; 13(1): 36.
  7. Correa LL, Botelho LAB, Barbosa LC, et al. Detection of bla OXA-23 in Acinetobacter spp. isolated from patients of a university hospital. Braz J Infect Dis 2012; 16(6): 521-6.
  8. Celik İH, Demirel G, Tatar Aksoy H, et al. Acinetobacter baumannii: an important pathogen with multidrug resistance in newborns. Mikrobiyol Bul 2011; 45(4): 716-22.
  9. Jain R, Danziger LH. Multidrug-resistant Acinetobacter infections: an emerging challenge to clinicians. Ann Pharmacother 2004; 38(9): 1449-59.
  10. Irfan S, Zafar A, Guhar D, Ahsan T, Hasan R. Metallo-beta-lactamase-producing clinical isolates of Acinetobacter species and Pseudomonas aeruginosa from intensive care unit patients of a tertiary care hospital. Indian J Med Microbiol 2008; 26(3): 243-5.
  11. Ciçek AC, Karagoz A, Koksal E, et al. A single clone Acinetobacter baumannii outbreak in state hospital in Turkey. Jpn J Infect Dis 2013; 66(3): 245-8.
  12. Ayan M, Durmaz R, Aktaş E, Durmaz B. Bacteriological, clinical and epidemiological characteristics of hospital acquired Acinetobacter baumannii infection in a teaching hospital. J Hosp Infect 2003;54(1): 39-45.
  13. Bayramoğlu G, Kaya S, Besli Y, et al. Molecular epidemiology and the clinical significance of Acinetobacter baumannii complex isolated from cerebrospinal fluid in neurosurgical intensive care unit patients. Infection 2012; 40(2): 163-72.
  14. Durmaz R, Otlu B, Köksal F, et al. The optimization of rapid pulsed-field gel electrophoresis protocol for typing of Acinetobacter baumannii, Escherichia coli and Klebsiella spp. Jpn J Infect Dis 2009; 62(5): 372-7.
  15. Perçin D, Colakoğlu S, Durmaz S, Ekincioğlu P. Comparison of ertapenem-EMB agar with traditional methods for screening carbapenem-resistant Klebsiella pneumoniae from rectal swabs. Mikrobiyol Bul 2012; 46(4): 546-52.
  16. Clinical and Laboratory Standards Institute. Performance standards for antimicrobial susceptibility testing. CLSI Document M100-S21, 2011. CLSI, Wayne, PA.
  17. Tenover FC, Arbeit RD, Goering RV, et al. Interpreting chromosomal DNA restriction patterns produced by pulsed-field gel electrophoresis: criteria for bacterial strain typing. J Clin Microbiol 1995; 33(9): 2233-9.
  18. Towner KJ. Acinetobacter: an old friend, but a new enemy. J Hosp Infect 2009; 73(4): 355-63.
  19. Munoz-Price LS, Weinstein RA. Acinetobacter infection. N Engl J Med 2008; 358(12): 1271-81.
  20. Mortensen E, Trivedi KK, Rosenberg J, et al. Multidrug-resistant Acinetobacter baumannii infection, colonization, and transmission related to a long-term care facility providing subacute care. Infect Control Hosp Epidemiol 2014; 35(4): 406-11.
  21. Maragakis LL, Perl TM. Acinetobacter baumannii: epidemiology, antimicrobial resistance, and treatment options. Clin Infect Dis 2008; 46(8): 1254-63.
  22. Mansur A, Kuzucu Ç, Ersoy Y, Yetkin F. İnönü Üniversitesi Turgut Özal Tıp Merkezinde 2008 yılında yatan hastalardan izole edilen Acinetobacter baumannii suşlarının antibiyotik duyarlılıkları. ANKEM 2009; 23(4): 177-81.
  23. Villegas MV, Hartstein Al. Acinetobacter outbreaks, 1977-2000. Infect Control Hosp Epidemiol 2003; 24(4): 284-95.
  24. Özdemir M, Erayman İ, Gündem NS, Baykan M, Baysal B. Hastane infeksiyonu etkeni Acinetobacter suşlarının çeşitli antibiyotiklere duyarlılıklarının araştırılması. ANKEM 2009; 23(3): 127-32.
  25. Nowak P, Paluchowska P, Budak A. Distribution of blaOXA genes among carbapenem-resistant Acinetobacter baumannii nosocomial strains in Poland. New Microbiol 2012; 35(3): 317-25.
  26. Playford EG, Craig JC, Iredell JR. Carbapenem-resistant Acinetobacter baumannii in intensive care unit patients: risk factors for acquisition, infection and their consequences. J Hosp Infect 2007; 65(3): 204-11.
  27. Parvez FM, Jarvis WR. Nosocomial infections in the nursery. Semin Pediatr Infect Dis 1999; 10(2): 119-29.
  28. Rodriguez CH, De Ambrosio A, Bajuk M, et al. In vitro antimicrobials activity against endemic Acinetobacter baumannii multiresistant clones. J Infect Dev Ctries 2010; 4(3): 164-7.
  29. Jones RN, Ferraro MJ, Reler LB, Schreckenberger PC, Swenson JM, Sader HS. Multicenter studies of tigecycline disk diffusion susceptibility results for Acinetobacter spp. J Clin Microbiol 2007; 45(1): 227-30.
  30. Gales AC, Jones RN, Sader HS. Contemporary activity of colistin and polymyxin B against a worldwide collection of gram-negative pathogens: results from the SENTRY Antimicrobial Surveillance Program (2006-09). J Antimicrob Chemother 2011; 66(9): 2070-4.
  31. Seifert H, Stefanik D, Wisplinghoff H. Comparative in vitro activities of tigecycline and 11 other anti-microbial agents against 215 epidemiologically defined multidrug-resistant Acinetobacter baumannii isolates. J Antimicrob Chemother 2006; 58(5): 1099-100.
  32. Manikal VM, Landman D, Saurina G, Oydna E, Lal H, Quale J. Endemic carbapenem-resistant Acinetobacter species in Brooklyn, New York: citywide prevalence, interinsitutional spread, and relation to antibiotic usage. Clin Infect Dis 2000; 31(1): 101-6.
  33. Wang H, Guo P, Sun H, et al. Molecular epidemiology of clinical isolates of carbapenem-resistant Acinetobacter spp. from Chinese hospitals. Antimicrob Agents Chemother 2007; 51(11): 4022-8.
  34. Gulbudak H, Aslan G, Tezcan S, et al. Investigation of the clonal relationship between nosocomial Acinetobacter baumannii isolates by Rep-PCR. Mikrobiyol Bul 2014; 48(2): 316-24.

İletişim (Correspondence):

Dr. Alper Karagöz,

Türkiye Halk Sağlığı Kurumu,

Mikrobiyoloji Referans Laboratuvarları Daire Başkanlığı,

Ulusal Moleküler Mikrobiyoloji Referans Merkez Laboratuvarı,

06100 Sıhhiye, Ankara, Türkiye.

Tel (Phone): +90 312 565 5362,

E-posta (E-mail): alper.karagoz82@gmail.com

Yazdır